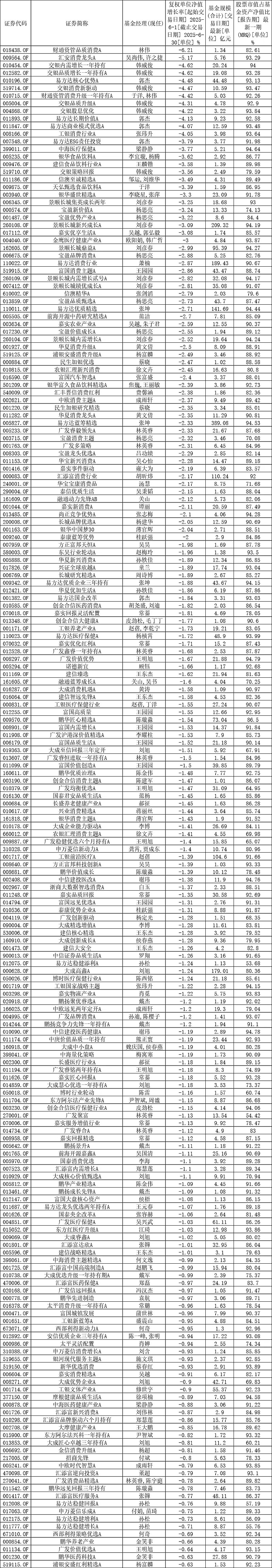
图解2025年上半年ETF涨幅榜、资金榜
2025年06月30日 | 浏览量:47255
(原标题:图解2025年上半年ETF涨幅榜、资金榜)

图片来源于网络,如有侵权,请联系删除
A股上半年收官,沪指涨2.76%,深成指涨0.48%,创指涨0.53%,科创50涨1.46%,北证50涨39.45%。

图片来源于网络,如有侵权,请联系删除
ETF近两年高歌猛进,指数投资风潮席卷A股。截至6月27日,ETF总规模已逼近4.3万亿元关口,其中股票型ETF总规模正式突破3万亿元大关。

图片来源于网络,如有侵权,请联系删除
在业内人士看来,股票型ETF规模持续提升,显示出A股核心资产配置需求增强,同时更深度反映出市场对中国经济复苏的信心。
今年上半年,创新药、人形机器人、北交所、新消费等热点轮番演绎,不断引爆行情,相关主题基金轮番抢先。其中,聚焦港股创新药板块的ETF业绩表现最为突出,霸屏业绩榜前列。
2025年上半年ETF涨幅榜,港股通创新药ETF涨幅59.31%,夺得半年度ETF涨幅榜冠军;港股创新药ETF涨幅59.16%,摘下亚军;恒生创新药ETF涨幅57.87%,拿下季军。
港股创新药ETF基金、港股创新药ETF、港股通医疗ETF富国、港股创新药50ETF、恒生生物科技ETF、恒生医药ETF、 恒生生物科技ETF上半年均涨超50%。
光伏、能源板块主题ETF上半年领跌,东南亚科技ETF、煤炭ETF、光伏ETF、标普生物科技ETF、能源ETF跌超10%。
ETF资金榜单,沪深300指数半年度“吸金王”;黄金主题ETF、信用债相关ETF脱颖而出。
截至6月27日,资金净流入额TOP10的ETF:沪深300ETF华夏、黄金ETF、短融ETF、港股通互联网ETF、沪深300ETF、公司债ETF易方达、信用债ETF基金、上证公司债ETF、沪深300ETF易方达、政金债券ETF,年内资金净流入额分别为306.30亿元、232.32亿元、205.67亿元、193.77亿元、180.04亿元、177.01亿元、175.84亿元、174.12亿元、160.10亿元、140.10亿元。
年内超百亿资金净流出恒生医疗ETF、科创50ETF;此外,中证A500指数成为资金上半年主要流出方向。
对于接下来的市场,招商证券表示,展望7月,市场可能会呈现指数突破上行,科技非银等进攻性板块占优的格局。资金面上,财政指数的发力和消费的韧性,使得二季度总需求增速进一步边际改善,使得即将到来的中报业绩期,在科技、消费、中游制造领域均存在业绩边际改善的可能,半年报披露窗口期成为A股有利的上行动力。从资金面看,目前利率仍处于较低水平,资产荒趋势依然存在,上半年市场赚钱效应的积累为指数后续突破上行、触发关键正反馈效应创造了有利条件。风格方面,从当前景气趋势和产业趋势来看,7月科技风格占优的可能性较大。
兴业证券研报指出,本轮市场的新高,市场倾向于从短期事件催化的角度“找原因”,其实更应该从中长期视角把握底层逻辑。随着宏观政策托底、产业亮点涌现、增量资金涌入,今年有望持续是风险偏好抬升、多头思维占优的一年:
首先,基本面和政策为市场风险偏好托底。关税冲击后,国内经济呈现超预期韧性,花旗中国经济超预期指数显著攀升并持续高位运行,大幅高于历史均值水平。并且,近期涉及地产、消费、资本市场等各领域政策仍在积极发力,持续提振市场风险偏好。更重要的是,自DeepSeek发布以来,我国持续在AI、机器人、半导体、军工、创新药、新消费等各类领域见证“DeepSeek时刻”,产业亮点不断涌现,不仅带动不少细分板块的赚钱效应明显改善,更成为本轮中国资产重估的清晰主线。
此外,只要方向反转,钱从来不是问题。在机构资金、居民财富向股市再配置的趋势下,市场资金动力仍源源不断。
因此,大势上,今年或是风险偏好系统性抬升的一年,需战略性保持多头思维。遇到行情拥挤、潜在风险扰动带来的短期战术性调整,恰是中期择机逢低布局的机会。结构上,虽然指数层面接近新高,但从拥挤度、各行业股价分布来看,当前市场依然有大量结构性机会可以积极挖掘。
本文来源:悠享生活网
本文地址:https://www.xcydns.com/post/3583.html
关注我们:微信搜索“xiaoqihvlove”添加我为好友
版权声明:如无特别注明,转载请注明本文地址!
- •集运欧线突然大跌16%,啥情况?分析师:可能有两大原因
- •纳指再创新高,纳斯达克指数ETF(159501)早盘飘红,近10个交易日累计“吸金”超8亿元丨ETF观察
- •农业板块活跃,农业50ETF、粮食50ETF涨超2%
- •A股三大指数早盘集体调整,新能源ETF基金(516850)收平,中材科技涨停
- •AI广告股AppLovin一年涨超600%!A股“影子股”是它,今日20CM涨停
- •芯片股午后爆发,芯片产业ETF(159310)涨近3%,机构:持续看好受益先进算力芯片快速发展的HBM产业链
- •ETF基金日报丨电池主题相关ETF涨幅居前,机构:锂电行业基本面边际好转趋势明确
- •香港科技ETF(159747)涨2.9%,中金测算今年南向资金流入空间还有约6000亿-8000亿港元
- •公告精选丨嘉必优:拟购买欧易生物65%股权,明起复牌;英搏尔:与亿航智能签署战略合作协议
- •ETF每日观察(12月25日)|银行板块ETF维持强势,深交所旗下深证信息发布新指数

